来源:壹芯微 发布日期
2026-04-21 浏览:-为 MM1W120 计算限流电阻是高压稳压电路设计的“精细活”。由于它的工作电流窗口极窄(仅约 2mA~8mA),计算必须分两步走:先确保能稳压(下限),再确保不烧毁(上限)。
MM1W120 的物理极限(计算基准)
在开始计算前,必须明确这颗管子的“脾气”,这是所有公式的输入条件:
第一步:计算电阻值(满足“稳压”与“安全”)
假设你的系统是 110V 直流母线(常见于通信电源),我们以此为例进行演算。
1. 定义系统边界条件
输入电压范围:Vin_min = 100V(欠压波动),Vin_max = 130V(过压浪涌)。
负载电流:I_load = 0 mA(最坏情况,假设负载为高阻或断开,所有电流流经稳压管)。
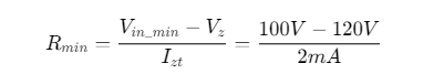
2. 计算电阻下限 R_min(保证击穿)
在最坏情况下(输入电压最低),必须保证流过 MM1W120 的电流 大于等于 Izt (2mA),否则稳压失效。
发现陷阱:100V - 120V = -20V,计算结果为负数。这意味着在 100V 输入时,管子根本不会导通。MM1W120 只能用于电压接近或高于 120V 的系统(如 110V 母线在浪涌时达到 130V 才起作用)。
修正场景:假设系统正常电压 110V,浪涌时 Vin_max=130V,我们计算 R_max。
3. 计算电阻上限 R_max(保证不烧毁)
在最坏情况下(输入电压最高且负载开路),电流必须 小于等于 Izm (7.8mA)。
4. 确定最终电阻值
由于 MM1W120 的 Izm 极小,R_max 计算值(1282Ω)就是你的绝对上限。为了确保管子安全,通常还要留 20% 余量(即 Iz 控制在 6mA 左右):
推荐取值:在 1.2kΩ 至 1.5kΩ 之间选择标准电阻(如 1.2kΩ 或 1.5kΩ)。严禁使用小于 1kΩ 的电阻,否则在 130V 输入时电流将超过 10mA,瞬间烧毁管子。
第二步:计算电阻功率(极易低估的环节)
这是高压应用中最容易犯错的点。限流电阻承受的压降很大,功耗远超直觉。
计算公式
代入最坏情况(Vin_max=130V)
若 R=1.2kΩ:P_R = (130-120)² / 1200 = 100 / 1200 ≈ 0.083W
若 R=1.5kΩ:P_R = 100 / 1500 ≈ 0.067W
结论:虽然计算值仅约 0.08W,但在高压应用中,必须考虑电阻的电压耐压和降额。建议选择 0.5W 或 1W 耐压 ≥200V 的厚膜/金属膜电阻,而不是普通的 0805/1206 贴片电阻(耐压通常只有 150V)。
关键设计验证(必做 )
实际钳位电压验证:MM1W120 的动态阻抗高达 550Ω。当浪涌电流 I=6mA 时,实际钳位电压 = 120V + (0.006A × 550Ω) = 123.3V。请确认你的后级芯片(如 DC-DC)耐压大于 125V,而不是 120V。
输入电压门槛:MM1W120 只能用于 Vin_max > 120V 的系统。如果你的系统电压始终低于 120V(如 48V/60V 系统),请换用 MM1W56/68 等低压型号。
瞬态能量:MM1W 是稳压管,不是 TVS。如果浪涌能量大(如雷击),必须在前端串联 TVS(如 SMAJ130A)做一级保护,MM1W120 仅做二级精细钳位。
壹芯微科技专注于“二极管、三极管、MOS(场效应管)、桥堆”研发、生产与销售,23年行业经验,拥有先进全自动化双轨封装生产线、高速检测设备等,研发技术、芯片源自台湾,专业生产流程管理及工程团队,保障所生产每一批物料质量稳定和更长久的使用寿命,实现高度自动化生产,大幅降低人工成本,促进更好的性价比优势!选择壹芯微,还可为客户提供参数选型替代,送样测试,技术支持,售后服务等,如需了解更多详情或最新报价,欢迎咨询官网在线客服!
手机号/微信:13534146615
QQ:2881579535
工厂地址:安徽省六安市金寨产业园区
深圳办事处地址:深圳市福田区宝华大厦A1428
中山办事处地址:中山市古镇长安灯饰配件城C栋11卡
杭州办事处:杭州市西湖区文三西路118号杭州电子商务大厦6层B座
电话:13534146615
企业QQ:2881579535

深圳市壹芯微科技有限公司 版权所有 | 备案号:粤ICP备2020121154号