来源:壹芯微 发布日期
2020-08-03 浏览:-关于等效电阻变换的一些妙用介绍
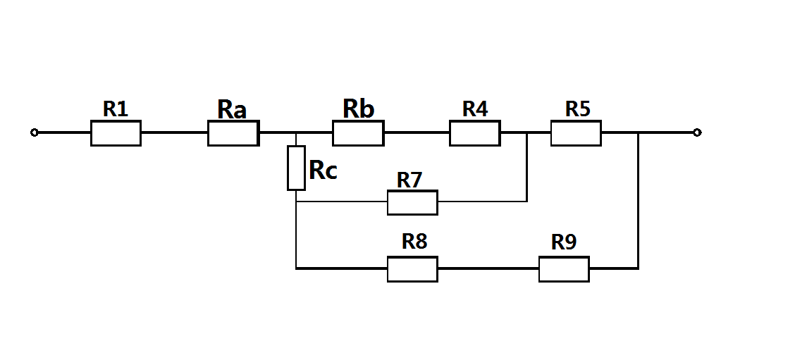
大概很多接受过高中教育的知友们知道等势法化简电路的方法,笔者自学过后,自己在某次简单的物理考试上的空余时间随便画了一个电路想考自己化简过后该电路的总电阻是多少,如图所示:R1~R8=100Ω

然而这个图等势点已经画的很好了,可是仍然较难辨别出局部电阻(事实上R2~R8的化简依靠这种等势法始终无能为力),当然通过计算每个支路的电流也可以暴力算出总电阻,但那样就失去了等效电路图的意义。观察后发现,最重要的难点莫过于化简R2,R3,R6(红框处)这个局部电路:

经过一番查资料(wen'dalao)我得知了一种星三角变换(又称Y-Δ变换)电路的方式:

原图中,红方框区相当于一个三角图。
星三角变换的实质,就是已知三个点,它们之间有三条无向路径,这些路径总会有一个固定的总电阻值,经过星三角等效变换之后,这三条无向路径的总电阻与原本的总电阻相等,那么从任意原点到任意汇点(终点)的电阻也便是相等的。
下面给出证明(图片见上面那张):
若假设要画点2~点3路径上的等效电路,那么有:

同理可得:

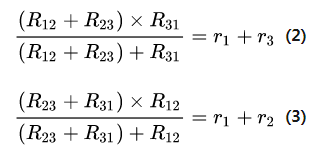
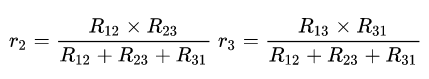
用(1)+(2)-(3)得:

同理可得:

所以原电路可以化简为:

其中
壹芯微科技针对二三极管,MOS管作出了良好的性能测试,应用各大领域,如果您有遇到什么需要帮助解决的,可以点击右边的工程师,或者点击销售经理给您精准的报价以及产品介绍
工厂地址:安徽省六安市金寨产业园区
深圳办事处地址:深圳市福田区宝华大厦A1428
中山办事处地址:中山市古镇长安灯饰配件城C栋11卡
杭州办事处:杭州市西湖区文三西路118号杭州电子商务大厦6层B座
电话:13534146615
企业QQ:2881579535

深圳市壹芯微科技有限公司 版权所有 | 备案号:粤ICP备2020121154号