来源:壹芯微 发布日期
2020-08-05 浏览:-电阻-阻抗-特性阻抗知识
本文主要理清三个阻抗概念:电阻、阻抗、特性阻抗。
电阻(Resistance)
这里所说的电阻不一定是指电阻器件,而是描述一个器件或材料对流过其中的电流的阻碍作用,其本质是不可逆的将电能转换为其它形式的能量。
比如电路中的电阻,电热毯的发热丝,都是将电能转为热能耗散出去。白炽灯将热能转换为热与光。这个过程的本质是在电压下运动的电子与材料原子碰撞并将能量传给原子,原子再以辐射或传导方式将能量耗散掉。
能量的转换也不只是“电子撞原子”这一种方式,比如电容的ESR(Equivalent Series Resistance)中就有一部分叫介质损耗,可以是电介质粒子在交变电场作用下不断翻转引起的电能到热能的转换。
阻抗(Impedance)
阻抗是一个基础概念,他可以简化为电阻,也可以推出特性阻抗。阻抗的定义就是瞬时的电压除以电流,跟电阻的定义很像,区别就是阻抗中除了阻性外还有容性、感性。
容性的本质就是以空间或电介质内的电场形式储存电能。感性的本质就是以空间或磁介质内的磁场储存电能。这两种情况都是存储电能,在其它时刻可以释放,而不是像阻性一样把电能转换为热能耗散掉。但容性与感性对电路中某一时刻的电压电流比值有很大影响。而阻抗的定义即综合了阻性、容性和感性的一个合成参数。
阻抗的表达式是复数(Complex):

复数的实部代表耗散电能的电阻(Resistance),虚部代表储存电能的电抗(Reactance)。
为什么用复数,电阻代表对信号幅值的衰减,电抗代表对信号相位的改变。
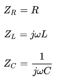
因为电抗(电容、电感)是可逆的电场磁场能量形式的转换,而根据电磁场理论,这个转换过程是与电场或磁场的变化率相关的,体现在信号上就是信号的频率。即阻抗中的电抗部分是与频率相关的,下面是电阻部分、电容部分、电感部分的阻抗表达式:

特性阻抗(Characteristic Impedance)
特性阻抗不是个基础概念,而是应用于传输线的概念。在高速应用场景,信号传输线已经不能看作理想导线,不能忽略传输线上的一些寄生参数,如寄生电阻、寄生电容、寄生电感。特性阻抗就是一个综合传输线场景下这些参数的合成参数。
单位长度的传输线可以等效为以下模型:

该模型的阻抗表达式为:

理论上精确的特性阻抗是一个与频率相关的量。而在实际应用中,传输线的电阻部分,即耗散能量的部分往往可以忽略不计,即上式中的R和G为0。近似为无损传输线。对于无损传输线,阻抗表达式可以表示为:

这也就是我们常说的PCB走线控制50ohm,同轴线阻抗50ohm或75ohm所说的阻抗。这个阻抗在不精确的要求下,是与频率不相关的。
总结
阻抗是基础概念,描述的是一个电路或器件,加上特定的电压,电流会是什么样子。阻抗包含阻性、容性与感性。阻性描述耗散电能,容性与感性描述储存电能。阻抗与频率相关。
电阻是阻抗在电抗部分为0时的特例。电阻与频率无关。
特性阻抗是描述传输线的单位长度阻抗的参数,对于无损传输线,阻抗与频率无关。
壹芯微科技针对二三极管,MOS管作出了良好的性能测试,应用各大领域,如果您有遇到什么需要帮助解决的,可以点击右边的工程师,或者点击销售经理给您精准的报价以及产品介绍
工厂地址:安徽省六安市金寨产业园区
深圳办事处地址:深圳市福田区宝华大厦A1428
中山办事处地址:中山市古镇长安灯饰配件城C栋11卡
杭州办事处:杭州市西湖区文三西路118号杭州电子商务大厦6层B座
电话:13534146615
企业QQ:2881579535

深圳市壹芯微科技有限公司 版权所有 | 备案号:粤ICP备2020121154号