来源:壹芯微 发布日期
2020-08-12 浏览:-电容及电感是怎样改变电流相位的
单单说说交变电流中的纯电感电路,单单进行定性分析。
首先说交变电流的纯电阻电路
下图是一个纯电感电路的图示

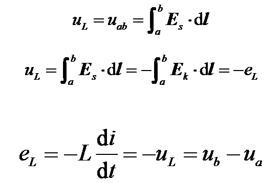
可以看到右图是端电压与电感中电流的相位图,可以看出是有相位差的。题主的问题就是为什么会有相位差。
由高中学过的楞次定律可以知道,如果电流的改变导致磁场的改变,那么导线中会产生相应的电流阻碍这种改变。而交变电流中的电感元件实际上就是缠绕了很多圈的导线,比如密绕螺线管。实际上,导线中除了原有电动势产生电场以外,额外产生了一个变化磁场产生的场。
电感中的场:1)电源产生的似稳无旋电场Es;
2)变化磁场(电流)产生的变化电场Ek
欧姆定律的微分形式

导线中电流密度j有限 导线无电阻,即电导率无穷大(没学过高数的同学可以理解为无穷大乘以无穷小可以为一个定值)

无旋电场产生的电压

即有用的是

假设此时电路的电流为

则如果为纯电阻电路,电压则应该为

实际上是

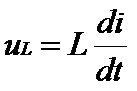
可见电感的电压电流同频率,相位不同,电压超前电流/2,或者说是改变了电压/2的相位

以上相加均属于简谐量相加
纯电容电路可以类似证明,结果为
假设电压

电流为

即电流超前/2

倘若要调整电压或者电流的相位,则添加一定阻抗的电感或电容即可,例如下面一个例子。
首先有个电压方程

由上面得到的电感电容的UI矢量图,可以合并有最终可以合并得到Um,可以看出与Im有一定的相位差

证明完毕
壹芯微科技针对二三极管,MOS管作出了良好的性能测试,应用各大领域,如果您有遇到什么需要帮助解决的,可以点击右边的工程师,或者点击销售经理给您精准的报价以及产品介绍
工厂地址:安徽省六安市金寨产业园区
深圳办事处地址:深圳市福田区宝华大厦A1428
中山办事处地址:中山市古镇长安灯饰配件城C栋11卡
杭州办事处:杭州市西湖区文三西路118号杭州电子商务大厦6层B座
电话:13534146615
企业QQ:2881579535

深圳市壹芯微科技有限公司 版权所有 | 备案号:粤ICP备2020121154号